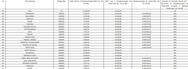
O ano letivo de 2026 começa com um reforço expressivo no caixa da educação acreana. É que uma nova portaria do Fundo de Manutenção e Desenvolvimento da Educação Básica e de Valorização dos Profissionais da Educação (Fundeb), publicada na edição desta quarta-feira, 31, do Diário Oficial do Estado (DOE), fixa em R$ 10.194,38 o valor anual mínimo por aluno e assegura mais de R$ 130 milhões em complementações da União para municípios do Acre, beneficiando principalmente cidades do interior com menor capacidade de investimento próprio.
Os números mostram o impacto direto do novo cálculo. Municípios como Feijó, que antes investia cerca de R$ 7 mil por aluno, receberá R$ 23,5 milhões em complementação federal. Tarauacá terá um acréscimo de R$ 20,3 milhões, enquanto Porto Walter contará com R$ 12,2 milhões extras para financiar a educação básica ao longo do ano.
Outras cidades também terão ganhos relevantes: Sena Madureira receberá quase R$ 8,8 milhões, Cruzeiro do Sul mais de R$ 8,7 milhões e Epitaciolândia cerca de R$ 8,9 milhões. O reforço permite que todos esses municípios alcancem o patamar mínimo nacional de investimento por estudante.
No outro extremo, Rio Branco, Assis Brasil e Rodrigues Alves não receberão complemento nessa modalidade, por já apresentarem valores por aluno acima do mínimo exigido. A capital, por exemplo, mantém investimento superior a R$ 10,9 mil por estudante.
Os repasses também levam em conta o Indicador de Educação Infantil, que chega a 65% em municípios como Santa Rosa do Purus, ampliando os recursos destinados às creches e à pré-escola. A expectativa é que o volume financeiro ajude a reduzir desigualdades entre redes municipais, melhorar a estrutura das escolas e fortalecer a valorização dos profissionais da educação em todo o estado.
Veja os números:









